近日,中国科学院高能物理研究所阮曼奇团队在粒子物理实验方面提出基于人工智能的“Holistic Approach”方法,可大幅提升粒子物理实验的科学探测能力。本成果以《Hadronic decay branching ratio measurements of the Higgs boson at future colliders using the Holistic Approach》为题,被期刊 Highlights in High Energy Physics发表为封面文章。

物理事例的准确分类是物理测量的核心。与传统分析方法主要依赖少量物理变量不同,本方法利用所有物理事例所有重建粒子的完整信息为输入,包括每个粒子的动量信息、粒子种类信息等,可形成上千维特征空间,从而显著提升对不同物理过程的区分能力。
基于环形正负电子对撞机(CEPC)在240 GeV能区运行并积累21.6 ab⁻¹积分亮度的运行情场景,研究团队对多种希格斯强子衰变模式的测量进行了系统模拟研究。结果表明,在Z(μ⁺μ⁻)H和Z(νν)H两类典型产生道中,H→bb̄、cc̄、gg、WW→4q和ZZ→4q等衰变模式的相对统计精度可达到0.16%至5.21%。与此前研究(2021年Snowmass物理研究)相比,holistic approach可将多个关键衰变道的测量精度提升约2至4倍,其中部分结果已接近理论统计极限。

图1, 10项Higgs粒子衰变模式测量预期精度在不同方法下的对比。

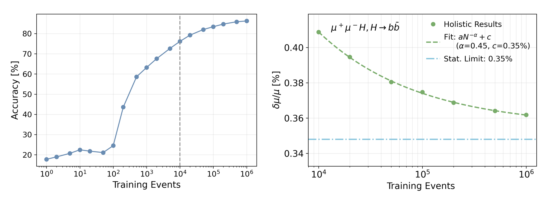
图2, 研究观察到的Scaling 行为:随着训练数据集的增加,事例区分性能变化(左图)以及关键物理测量预期精度的变化。
此外,研究团队还系统研究了人工智能模型性能随训练数据规模变化的标度行为(Scaling Behavior)。研究发现,随着训练样本规模增加,模型性能呈现典型的S形增长趋势,并逐渐逼近统计极限。该研究为理解人工智能模型在高能物理数据分析中的性能演化规律提供了重要参考,也为优化未来实验数据分析策略提供了新的方法学依据。
研究结果表明,这一方法可显著提升未来希格斯工厂对关键物理过程的测量能力,大幅增强对潜在新物理信号的发现能力。该工作为人工智能技术在高能物理实验数据分析中的应用提供了新的思路。这一方法也在CEPC Ref-Det TDR相关分析中得到了应用。
Highlights in High Energy Physics是2025年创刊的新型期刊,聚焦粒子物理领域研,采用开放获取模式;目前有多位诺奖得主在其上发表文章(https://www.sciltp.com/journals/hihep)。
附件下载:
